Advanced Features

This section of the tutorial covers features of CVXPY intended for users with advanced knowledge of convex optimization. We recommend Convex Optimization by Boyd and Vandenberghe as a reference for any terms you are unfamiliar with.

Dual variables

You can use CVXPY to find the optimal dual variables for a problem. When you call prob.solve() each dual variable in the solution is stored in the dual_value field of the constraint it corresponds to.

import cvxpy as cp

# Create two scalar optimization variables.
x = cp.Variable()
y = cp.Variable()

# Create two constraints.
constraints = [x + y == 1,
               x - y >= 1]

# Form objective.
obj = cp.Minimize((x - y)**2)

# Form and solve problem.
prob = cp.Problem(obj, constraints)
prob.solve()

# The optimal dual variable (Lagrange multiplier) for
# a constraint is stored in constraint.dual_value.
print("optimal (x + y == 1) dual variable", constraints[0].dual_value)
print("optimal (x - y >= 1) dual variable", constraints[1].dual_value)
print("x - y value:", (x - y).value)
optimal (x + y == 1) dual variable 6.47610300459e-18
optimal (x - y >= 1) dual variable 2.00025244976
x - y value: 0.999999986374

The dual variable for x - y >= 1 is 2. By complementarity this implies that x - y is 1, which we can see is true. The fact that the dual variable is non-zero also tells us that if we tighten x - y >= 1, (i.e., increase the right-hand side), the optimal value of the problem will increase.

Attributes

Variables and parameters can be created with attributes specifying additional properties. For example, Variable(nonneg=True) is a scalar variable constrained to be nonnegative. Similarly, Parameter(nonpos=True) is a scalar parameter constrained to be nonpositive. The full constructor for Leaf (the parent class of Variable and Parameter) is given below.

Leaf(shape=None, name=None, value=None, nonneg=False, nonpos=False, symmetric=False, diag=False, PSD=False, NSD=False, boolean=False, integer=False)

Creates a Leaf object (e.g., Variable or Parameter). Only one attribute can be active (set to True).

Parameters:
  • shape (tuple or int) – The variable dimensions (0D by default). Cannot be more than 2D.

  • name (str) – The variable name.

  • value (numeric type) – A value to assign to the variable.

  • nonneg (bool) – Is the variable constrained to be nonnegative?

  • nonpos (bool) – Is the variable constrained to be nonpositive?

  • symmetric (bool) – Is the variable constrained to be symmetric?

  • hermitian (bool) – Is the variable constrained to be Hermitian?

  • diag (bool) – Is the variable constrained to be diagonal?

  • complex (bool) – Is the variable complex valued?

  • imag (bool) – Is the variable purely imaginary?

  • PSD (bool) – Is the variable constrained to be symmetric positive semidefinite?

  • NSD (bool) – Is the variable constrained to be symmetric negative semidefinite?

  • boolean (bool or list of tuple) – Is the variable boolean (i.e., 0 or 1)? True, which constrains the entire variable to be boolean, False, or a list of indices which should be constrained as boolean, where each index is a tuple of length exactly equal to the length of shape.

  • integer (bool or list of tuple) – Is the variable integer? The semantics are the same as the boolean argument.

The value field of Variables and Parameters can be assigned a value after construction, but the assigned value must satisfy the object attributes. A Euclidean projection onto the set defined by the attributes is given by the project method.

p = Parameter(nonneg=True)
try:
    p.value = -1
except Exception as e:
    print(e)

print("Projection:", p.project(-1))
Parameter value must be nonnegative.
Projection: 0.0

A sensible idiom for assigning values to leaves is leaf.value = leaf.project(val), ensuring that the assigned value satisfies the leaf’s properties. A slightly more efficient variant is leaf.project_and_assign(val), which projects and assigns the value directly, without additionally checking that the value satisfies the leaf’s properties. In most cases project and checking that a value satisfies a leaf’s properties are cheap operations (i.e., \(O(n)\)), but for symmetric positive semidefinite or negative semidefinite leaves, the operations compute an eigenvalue decomposition.

Many attributes, such as nonnegativity and symmetry, can be easily specified with constraints. What is the advantage then of specifying attributes in a variable? The main benefit is that specifying attributes enables more fine-grained DCP analysis. For example, creating a variable x via x = Variable(nonpos=True) informs the DCP analyzer that x is nonpositive. Creating the variable x via x = Variable() and adding the constraint x >= 0 separately does not provide any information about the sign of x to the DCP analyzer.

Semidefinite matrices

Many convex optimization problems involve constraining matrices to be positive or negative semidefinite (e.g., SDPs). You can do this in CVXPY in two ways. The first way is to use Variable((n, n), PSD=True) to create an n by n variable constrained to be symmetric and positive semidefinite. For example,

# Creates a 100 by 100 positive semidefinite variable.
X = cp.Variable((100, 100), PSD=True)

# You can use X anywhere you would use
# a normal CVXPY variable.
obj = cp.Minimize(cp.norm(X) + cp.sum(X))

The second way is to create a positive semidefinite cone constraint using the >> or << operator. If X and Y are n by n variables, the constraint X >> Y means that \(z^T(X - Y)z \geq 0\), for all \(z \in \mathcal{R}^n\). In other words, \((X - Y) + (X - Y)^T\) is positive semidefinite. The constraint does not require that X and Y be symmetric. Both sides of a postive semidefinite cone constraint must be square matrices and affine.

The following code shows how to constrain matrix expressions to be positive or negative semidefinite (but not necessarily symmetric).

# expr1 must be positive semidefinite.
constr1 = (expr1 >> 0)

# expr2 must be negative semidefinite.
constr2 = (expr2 << 0)

To constrain a matrix expression to be symmetric, simply write

# expr must be symmetric.
constr = (expr == expr.T)

You can also use Variable((n, n), symmetric=True) to create an n by n variable constrained to be symmetric. The difference between specifying that a variable is symmetric via attributes and adding the constraint X == X.T is that attributes are parsed for DCP information and a symmetric variable is defined over the (lower dimensional) vector space of symmetric matrices.

Mixed-integer programs

In mixed-integer programs, certain variables are constrained to be boolean (i.e., 0 or 1) or integer valued. You can construct mixed-integer programs by creating variables with the attribute that they have only boolean or integer valued entries:

# Creates a 10-vector constrained to have boolean valued entries.
x = cp.Variable(10, boolean=True)

# expr1 must be boolean valued.
constr1 = (expr1 == x)

# Creates a 5 by 7 matrix constrained to have integer valued entries.
Z = cp.Variable((5, 7), integer=True)

# expr2 must be integer valued.
constr2 = (expr2 == Z)

CVXPY provides interfaces to many mixed-integer solvers, including open source and commercial solvers. For licensing reasons, CVXPY does not install any of the preferred solvers by default.

The preferred open source mixed-integer solvers in CVXPY are GLPK_MI, CBC and SCIP. The CVXOPT python package provides CVXPY with access to GLPK_MI; CVXOPT can be installed by running pip install cvxopt` in your command line or terminal. Neither GLPK_MI nor CBC allow nonlinear models.

CVXPY comes with ECOS_BB – an open source mixed-integer nonlinear solver – by default. However ECOS_BB will not be called automatically; you must explicitly call prob.solve(solver='ECOS_BB') if you want to use it (changed in CVXPY 1.1.6). This policy stems from the fact that there are recurring correctness issues with ECOS_BB. If you rely on this solver for some application then you need to be aware of the increased risks that come with using it.

If you need to solve a large mixed-integer problem quickly, or if you have a nonlinear mixed-integer model, then you will need to use a commercial solver such as CPLEX, GUROBI, XPRESS, or MOSEK. Commercial solvers require licenses to run. CPLEX, GUROBI, and MOSEK provide free licenses to those in academia (both students and faculty), as well as trial versions to those outside academia. CPLEX Free Edition is available at no cost regardless of academic status, however it still requires online registration, and it’s limited to problems at with most 1000 variables and 1000 constraints. XPRESS has a free community edition which does not require registration, however it is limited to problems where sum of variables count and constraint count does not exceed 5000.

Note

If you develop an open-source mixed-integer solver with a permissive license such as Apache 2.0, and you’re interested in incorporating your solver into CVXPY’s default installation, please reach out to us at our GitHub issues. We are particularly interested in incorporating a simple mixed-integer SOCP solver.

Complex valued expressions

By default variables and parameters are real valued. Complex valued variables and parameters can be created by setting the attribute complex=True. Similarly, purely imaginary variables and parameters can be created by setting the attributes imag=True. Expressions containing complex variables, parameters, or constants may be complex valued. The functions is_real, is_complex, and is_imag return whether an expression is purely real, complex, or purely imaginary, respectively.

# A complex valued variable.
x = cp.Variable(complex=True)
# A purely imaginary parameter.
p = cp.Parameter(imag=True)

print("p.is_imag() = ", p.is_imag())
print("(x + 2).is_real() = ", (x + 2).is_real())
p.is_imag() = True
(x + 2).is_real() = False

The top-level expressions in the problem objective must be real valued, but subexpressions may be complex. Arithmetic and all linear atoms are defined for complex expressions. The nonlinear atoms abs and all norms except norm(X, p) for p < 1 are also defined for complex expressions. All atoms whose domain is symmetric matrices are defined for Hermitian matrices. Similarly, the atoms quad_form(x, P) and matrix_frac(x, P) are defined for complex x and Hermitian P. All constraints are defined for complex expressions.

The following additional atoms are provided for working with complex expressions:

  • real(expr) gives the real part of expr.

  • imag(expr) gives the imaginary part of expr (i.e., expr = real(expr) + 1j*imag(expr)).

  • conj(expr) gives the complex conjugate of expr.

  • expr.H gives the Hermitian (conjugate) transpose of expr.

Transforms

Transforms provide additional ways of manipulating CVXPY objects beyond the atomic functions. For example, the indicator transform converts a list of constraints into an expression representing the convex function that takes value 0 when the constraints hold and \(\infty\) when they are violated.

x = cp.Variable()
constraints = [0 <= x, x <= 1]
expr = cp.transforms.indicator(constraints)
x.value = .5
print("expr.value = ", expr.value)
x.value = 2
print("expr.value = ", expr.value)
expr.value = 0.0
expr.value = inf

The full set of transforms available is discussed in Transforms.

Problem arithmetic

For convenience, arithmetic operations have been overloaded for problems and objectives. Problem arithmetic is useful because it allows you to write a problem as a sum of smaller problems. The rules for adding, subtracting, and multiplying objectives are given below.

# Addition and subtraction.

Minimize(expr1) + Minimize(expr2) == Minimize(expr1 + expr2)

Maximize(expr1) + Maximize(expr2) == Maximize(expr1 + expr2)

Minimize(expr1) + Maximize(expr2) # Not allowed.

Minimize(expr1) - Maximize(expr2) == Minimize(expr1 - expr2)

# Multiplication (alpha is a positive scalar).

alpha*Minimize(expr) == Minimize(alpha*expr)

alpha*Maximize(expr) == Maximize(alpha*expr)

-alpha*Minimize(expr) == Maximize(-alpha*expr)

-alpha*Maximize(expr) == Minimize(-alpha*expr)

The rules for adding and multiplying problems are equally straightforward:

# Addition and subtraction.

prob1 + prob2 == Problem(prob1.objective + prob2.objective,
                         prob1.constraints + prob2.constraints)

prob1 - prob2 == Problem(prob1.objective - prob2.objective,
                         prob1.constraints + prob2.constraints)

# Multiplication (alpha is any scalar).

alpha*prob == Problem(alpha*prob.objective, prob.constraints)

Note that the + operator concatenates lists of constraints, since this is the default behavior for Python lists. The in-place operators +=, -=, and *= are also supported for objectives and problems and follow the same rules as above.

Solve method options

The solve method takes optional arguments that let you change how CVXPY parses and solves the problem.

solve(solver=None, verbose=False, gp=False, qcp=False, requries_grad=False, enforce_dpp=False, **kwargs)

Solves the problem using the specified method.

Populates the status and value attributes on the problem object as a side-effect.

Parameters:
  • solver (str, optional) – The solver to use.

  • verbose (bool, optional) – Overrides the default of hiding solver output.

  • gp (bool, optional) – If True, parses the problem as a disciplined geometric program instead of a disciplined convex program.

  • qcp (bool, optional) – If True, parses the problem as a disciplined quasiconvex program instead of a disciplined convex program.

  • requires_grad (bool, optional) –

    Makes it possible to compute gradients of a solution with respect to Parameters by calling problem.backward() after solving, or to compute perturbations to the variables given perturbations to Parameters by calling problem.derivative().

    Gradients are only supported for DCP and DGP problems, not quasiconvex problems. When computing gradients (i.e., when this argument is True), the problem must satisfy the DPP rules.

  • enforce_dpp (bool, optional) – When True, a DPPError will be thrown when trying to solve a non-DPP problem (instead of just a warning). Only relevant for problems involving Parameters. Defaults to False.

  • kwargs – Additional keyword arguments specifying solver specific options.

Returns:

The optimal value for the problem, or a string indicating why the problem could not be solved.

We will discuss the optional arguments in detail below.

Choosing a solver

CVXPY is distributed with the open source solvers ECOS, OSQP, and SCS. Many other solvers can be called by CVXPY if installed separately. The table below shows the types of problems the supported solvers can handle.

LP

QP

SOCP

SDP

EXP

POW

MIP

CBC

X

X

GLPK

X

GLPK_MI

X

X

OSQP

X

X

CPLEX

X

X

X

X

NAG

X

X

X

ECOS

X

X

X

X

GUROBI

X

X

X

X

MOSEK

X

X

X

X

X

X

X*

CVXOPT

X

X

X

X

SCS

X

X

X

X

X

X

SCIP

X

X

X

X

XPRESS

X

X

X

X

SCIPY

X

(*) Except mixed-integer SDP.

Here EXP refers to problems with exponential cone constraints. The exponential cone is defined as

\(\{(x,y,z) \mid y > 0, y\exp(x/y) \leq z \} \cup \{ (x,y,z) \mid x \leq 0, y = 0, z \geq 0\}\).

Most users will never specify cone constraints directly. Instead, cone constraints are added when CVXPY converts the problem into standard form. The POW column refers to problems with 3-dimensional power cone constraints. The 3D power cone is defined as

\(\{(x,y,z) \mid x^{\alpha}y^{\alpha} \geq |z|, x \geq 0, y \geq 0 \}\).

Support for power cone constraints is a recent addition (v1.1.8), and CVXPY currently does not have any atoms that take advantage of this constraint. If you want you want to use this type of constraint in your model, you will need to instantiate PowCone3D and/or PowConeND objects manually.

By default CVXPY calls the solver most specialized to the problem type. For example, ECOS is called for SOCPs. SCS can handle all problems (except mixed-integer programs). If the problem is a QP, CVXPY will use OSQP.

You can change the solver called by CVXPY using the solver keyword argument. If the solver you choose cannot solve the problem, CVXPY will raise an exception. Here’s example code solving the same problem with different solvers.

# Solving a problem with different solvers.
x = cp.Variable(2)
obj = cp.Minimize(x[0] + cp.norm(x, 1))
constraints = [x >= 2]
prob = cp.Problem(obj, constraints)

# Solve with OSQP.
prob.solve(solver=cp.OSQP)
print("optimal value with OSQP:", prob.value)

# Solve with ECOS.
prob.solve(solver=cp.ECOS)
print("optimal value with ECOS:", prob.value)

# Solve with CVXOPT.
prob.solve(solver=cp.CVXOPT)
print("optimal value with CVXOPT:", prob.value)

# Solve with SCS.
prob.solve(solver=cp.SCS)
print("optimal value with SCS:", prob.value)

# Solve with SciPy/HiGHS.
prob.solve(solver=cp.SCIPY, scipy_options={"method": "highs"})
print("optimal value with SciPy/HiGHS:", prob.value)

# Solve with GLPK.
prob.solve(solver=cp.GLPK)
print("optimal value with GLPK:", prob.value)

# Solve with GLPK_MI.
prob.solve(solver=cp.GLPK_MI)
print("optimal value with GLPK_MI:", prob.value)

# Solve with GUROBI.
prob.solve(solver=cp.GUROBI)
print("optimal value with GUROBI:", prob.value)

# Solve with MOSEK.
prob.solve(solver=cp.MOSEK)
print("optimal value with MOSEK:", prob.value)

# Solve with CBC.
prob.solve(solver=cp.CBC)
print("optimal value with CBC:", prob.value)

# Solve with CPLEX.
prob.solve(solver=cp.CPLEX)
print("optimal value with CPLEX:", prob.value)

# Solve with NAG.
prob.solve(solver=cp.NAG)
print("optimal value with NAG:", prob.value)

# Solve with SCIP.
prob.solve(solver=cp.SCIP)
print("optimal value with SCIP:", prob.value)

# Solve with XPRESS.
prob.solve(solver=cp.XPRESS)
print("optimal value with XPRESS:", prob.value)
optimal value with OSQP: 6.0
optimal value with ECOS: 5.99999999551
optimal value with CVXOPT: 6.00000000512
optimal value with SCS: 6.00046055789
optimal value with SciPy/HiGHS: 6.0
optimal value with GLPK: 6.0
optimal value with GLPK_MI: 6.0
optimal value with GUROBI: 6.0
optimal value with MOSEK: 6.0
optimal value with CBC: 6.0
optimal value with CPLEX: 6.0
optimal value with NAG: 6.000000003182365
optimal value with SCIP: 6.0
optimal value with XPRESS: 6.0

Use the installed_solvers utility function to get a list of the solvers your installation of CVXPY supports.

print installed_solvers()
['CBC', 'CVXOPT', 'MOSEK', 'GLPK', 'GLPK_MI', 'ECOS', 'SCS',
 'SCIPY', 'GUROBI', 'OSQP', 'CPLEX', 'NAG', 'SCIP', 'XPRESS']

Viewing solver output

All the solvers can print out information about their progress while solving the problem. This information can be useful in debugging a solver error. To see the output from the solvers, set verbose=True in the solve method.

# Solve with ECOS and display output.
prob.solve(solver=cp.ECOS, verbose=True)
print "optimal value with ECOS:", prob.value
ECOS 1.0.3 - (c) A. Domahidi, Automatic Control Laboratory, ETH Zurich, 2012-2014.

It     pcost         dcost      gap     pres    dres     k/t     mu      step     IR
 0   +0.000e+00   +4.000e+00   +2e+01   2e+00   1e+00   1e+00   3e+00    N/A     1 1 -
 1   +6.451e+00   +8.125e+00   +5e+00   7e-01   5e-01   7e-01   7e-01   0.7857   1 1 1
 2   +6.788e+00   +6.839e+00   +9e-02   1e-02   8e-03   3e-02   2e-02   0.9829   1 1 1
 3   +6.828e+00   +6.829e+00   +1e-03   1e-04   8e-05   3e-04   2e-04   0.9899   1 1 1
 4   +6.828e+00   +6.828e+00   +1e-05   1e-06   8e-07   3e-06   2e-06   0.9899   2 1 1
 5   +6.828e+00   +6.828e+00   +1e-07   1e-08   8e-09   4e-08   2e-08   0.9899   2 1 1

OPTIMAL (within feastol=1.3e-08, reltol=1.5e-08, abstol=1.0e-07).
Runtime: 0.000121 seconds.

optimal value with ECOS: 6.82842708233

Solving disciplined geometric programs

When the solve method is called with gp=True, the problem is parsed as a disciplined geometric program instead of a disciplined convex program. For more information, see the DGP tutorial </tutorial/dgp/index>.

Solver stats

When the solve method is called on a problem object and a solver is invoked, the problem object records the optimal value, the values of the primal and dual variables, and several solver statistics. We have already discussed how to view the optimal value and variable values. The solver statistics are accessed via the problem.solver_stats attribute, which returns a SolverStats object. For example, problem.solver_stats.solve_time gives the time it took the solver to solve the problem.

Warm start

When solving the same problem for multiple values of a parameter, many solvers can exploit work from previous solves (i.e., warm start). For example, the solver might use the previous solution as an initial point or reuse cached matrix factorizations. Warm start is enabled by default and controlled with the warm_start solver option. The code below shows how warm start can accelerate solving a sequence of related least-squares problems.

import cvxpy as cp
import numpy

# Problem data.
m = 2000
n = 1000
numpy.random.seed(1)
A = numpy.random.randn(m, n)
b = cp.Parameter(m)

# Construct the problem.
x = cp.Variable(n)
prob = cp.Problem(cp.Minimize(cp.sum_squares(A @ x - b)),
                   [x >= 0])

b.value = numpy.random.randn(m)
prob.solve()
print("First solve time:", prob.solver_stats.solve_time)

b.value = numpy.random.randn(m)
prob.solve(warm_start=True)
print("Second solve time:", prob.solver_stats.solve_time)
First solve time: 11.14
Second solve time: 2.95

The speed up in this case comes from caching the KKT matrix factorization. If A were a parameter, factorization caching would not be possible and the benefit of warm start would only be a good initial point.

Setting solver options

The OSQP, ECOS, MOSEK, CBC, CVXOPT, NAG, GUROBI, and SCS Python interfaces allow you to set solver options such as the maximum number of iterations. You can pass these options along through CVXPY as keyword arguments.

For example, here we tell SCS to use an indirect method for solving linear equations rather than a direct method.

# Solve with SCS, use sparse-indirect method.
prob.solve(solver=cp.SCS, verbose=True, use_indirect=True)
print "optimal value with SCS:", prob.value
----------------------------------------------------------------------------
    SCS v1.0.5 - Splitting Conic Solver
    (c) Brendan O'Donoghue, Stanford University, 2012
----------------------------------------------------------------------------
Lin-sys: sparse-indirect, nnz in A = 13, CG tol ~ 1/iter^(2.00)
EPS = 1.00e-03, ALPHA = 1.80, MAX_ITERS = 2500, NORMALIZE = 1, SCALE = 5.00
Variables n = 5, constraints m = 9
Cones:  linear vars: 6
    soc vars: 3, soc blks: 1
Setup time: 2.78e-04s
----------------------------------------------------------------------------
 Iter | pri res | dua res | rel gap | pri obj | dua obj | kap/tau | time (s)
----------------------------------------------------------------------------
     0| 4.60e+00  5.78e-01       nan      -inf       inf       inf  3.86e-05
    60| 3.92e-05  1.12e-04  6.64e-06  6.83e+00  6.83e+00  1.41e-17  9.51e-05
----------------------------------------------------------------------------
Status: Solved
Timing: Total solve time: 9.76e-05s
    Lin-sys: avg # CG iterations: 1.00, avg solve time: 2.24e-07s
    Cones: avg projection time: 4.90e-08s
----------------------------------------------------------------------------
Error metrics:
|Ax + s - b|_2 / (1 + |b|_2) = 3.9223e-05
|A'y + c|_2 / (1 + |c|_2) = 1.1168e-04
|c'x + b'y| / (1 + |c'x| + |b'y|) = 6.6446e-06
dist(s, K) = 0, dist(y, K*) = 0, s'y = 0
----------------------------------------------------------------------------
c'x = 6.8284, -b'y = 6.8285
============================================================================
optimal value with SCS: 6.82837896975

Here is the complete list of solver options.

OSQP options:

'max_iter'

maximum number of iterations (default: 10,000).

'eps_abs'

absolute accuracy (default: 1e-5).

'eps_rel'

relative accuracy (default: 1e-5).

For others see OSQP documentation.

ECOS options:

'max_iters'

maximum number of iterations (default: 100).

'abstol'

absolute accuracy (default: 1e-8).

'reltol'

relative accuracy (default: 1e-8).

'feastol'

tolerance for feasibility conditions (default: 1e-8).

'abstol_inacc'

absolute accuracy for inaccurate solution (default: 5e-5).

'reltol_inacc'

relative accuracy for inaccurate solution (default: 5e-5).

'feastol_inacc'

tolerance for feasibility condition for inaccurate solution (default: 1e-4).

MOSEK options:

'mosek_params'

A dictionary of MOSEK parameters in the form name: value. Parameter names should be strings, as in the MOSEK C API or command line, for example 'MSK_DPAR_BASIS_TOL_X', 'MSK_IPAR_NUM_THREADS' etc. Values are strings, integers or floats, depending on the parameter. See example.

'save_file'

The name of a file where MOSEK will save the problem just before optimization. Refer to MOSEK documentation for a list of supported file formats. File format is chosen based on the extension.

'bfs'

For a linear problem, if bfs=True, then the basic solution will be retrieved instead of the interior-point solution. This assumes no specific MOSEK parameters were used which prevent computing the basic solution.

Note

In CVXPY 1.1.6 we did a complete rewrite of the MOSEK interface. The main takeaway is that we now dualize all continuous problems. The dualization is automatic because this eliminates the previous need for a large number of slack variables, and never results in larger problems compared to our old MOSEK interface. If you notice MOSEK solve times are slower for some of your problems under CVXPY 1.1.6 or higher, be sure to use the MOSEK solver options to tell MOSEK that it should solve the dual; this can be accomplished by adding the (key, value) pair ('MSK_IPAR_INTPNT_SOLVE_FORM', 'MSK_SOLVE_DUAL') to the mosek_params argument.

CVXOPT options:

'max_iters'

maximum number of iterations (default: 100).

'abstol'

absolute accuracy (default: 1e-7).

'reltol'

relative accuracy (default: 1e-6).

'feastol'

tolerance for feasibility conditions (default: 1e-7).

'refinement'

number of iterative refinement steps after solving KKT system (default: 1).

'kktsolver'

Controls the method used to solve systems of linear equations at each step of CVXOPT’s interior-point algorithm. This parameter can be a string (with one of several values), or a function handle.

KKT solvers built-in to CVXOPT can be specified by strings ‘ldl’, ‘ldl2’, ‘qr’, ‘chol’, and ‘chol2’. If ‘chol’ is chosen, then CVXPY will perform an additional presolve procedure to eliminate redundant constraints. You can also set kktsolver='robust'. The ‘robust’ solver is implemented in python, and is part of CVXPY source code; the ‘robust’ solver doesn’t require a presolve phase to eliminate redundant constraints, however it can be slower than ‘chol’.

Finally, there is an option to pass a function handle for the kktsolver argument. Passing a KKT solver based on a function handle allows you to take complete control of solving the linear systems encountered in CVXOPT’s interior-point algorithm. The API for KKT solvers of this form is a small wrapper around CVXOPT’s API for function-handle KKT solvers. The precise API that CVXPY users are held to is described in the CVXPY source code: cvxpy/reductions/solvers/kktsolver.py

SCS options:

'max_iters'

maximum number of iterations (default: 2500).

'eps'

convergence tolerance (default: 1e-4).

'alpha'

relaxation parameter (default: 1.8).

'acceleration_lookback'

Anderson Acceleration parameter for SCS 2.0 and higher. This can be any positive or negative integer; its default value is 10. See this page of the SCS documentation for more information.

Warning

The value of this parameter often effects whether or not SCS 2.X will converge to an accurate solution. If you don’t explicitly set acceleration_lookback and SCS 2.X fails to converge, then CVXPY will raise a warning and try to re-solve the problem with acceleration_lookback=0. No attempt will be made to re-solve with problem if you have SCS version 3.0 or higher.

'scale'

balance between minimizing primal and dual residual (default: 5.0).

'normalize'

whether to precondition data matrices (default: True).

'use_indirect'

whether to use indirect solver for KKT sytem (instead of direct) (default: True).

CBC options:

Cut-generation through CGL

General remarks:
  • some of these cut-generators seem to be buggy (observed problems with AllDifferentCuts, RedSplitCuts, LandPCuts, PreProcessCuts)

  • a few of these cut-generators will generate noisy output even if 'verbose=False'

The following cut-generators are available:

GomoryCuts, MIRCuts, MIRCuts2, TwoMIRCuts, ResidualCapacityCuts, KnapsackCuts FlowCoverCuts, CliqueCuts, LiftProjectCuts, AllDifferentCuts, OddHoleCuts, RedSplitCuts, LandPCuts, PreProcessCuts, ProbingCuts, SimpleRoundingCuts.

'CutGenName'

if cut-generator is activated (e.g. 'GomoryCuts=True')

'integerTolerance'

an integer variable is deemed to be at an integral value if it is no further than this value (tolerance) away

'maximumSeconds'

stop after given amount of seconds

'maximumNodes'

stop after given maximum number of nodes

'maximumSolutions'

stop after evalutation x number of solutions

'numberThreads'

sets the number of threads

'allowableGap'

returns a solution if the gap between the best known solution and the best possible solution is less than this value.

'allowableFractionGap'

returns a solution if the gap between the best known solution and the best possible solution is less than this fraction.

'allowablePercentageGap'

returns if the gap between the best known solution and the best possible solution is less than this percentage.

CPLEX options:

'cplex_params'

a dictionary where the key-value pairs are composed of parameter names (as used in the CPLEX Python API) and parameter values. For example, to set the advance start switch parameter (i.e., CPX_PARAM_ADVIND), use “advance” for the parameter name. For the data consistency checking and modeling assistance parameter (i.e., CPX_PARAM_DATACHECK), use “read.datacheck” for the parameter name, and so on.

'cplex_filename'

a string specifying the filename to which the problem will be written. For example, use “model.lp”, “model.sav”, or “model.mps” to export to the LP, SAV, and MPS formats, respectively.

reoptimize

A boolean. This is only relevant for problems where CPLEX initially produces an “infeasible or unbounded” status. Its default value is False. If set to True, then if CPLEX produces an “infeasible or unbounded” status, its algorithm parameters are automatically changed and the problem is re-solved in order to determine its precise status.

NAG options:

'nag_params'

a dictionary of NAG option parameters. Refer to NAG’s Python or Fortran API for details. For example, to set the maximum number of iterations for a linear programming problem to 20, use “LPIPM Iteration Limit” for the key name and 20 for its value .

SCIP options: 'scip_params' a dictionary of SCIP optional parameters, a full list of parameters with defaults is listed here.

SCIPY options: 'scipy_options' a dictionary of SciPy optional parameters, a full list of parameters with defaults is listed here.

  • Please note: All options should be listed as key-value pairs within the 'scipy_options' dictionary and there should not be a nested dictionary called options. Some of the methods have different parameters so please check the parameters for the method you wish to use e.g. for method = ‘highs-ipm’.

  • The main advantage of this solver is its ability to use the HiGHS LP solvers which are coded in C++, however these require a version of SciPy larger than 1.6.1. To use the HiGHS solvers simply set the method parameter to ‘highs-ds’ (for dual-simplex), ‘highs-ipm’ (for interior-point method) or ‘highs’ (which will choose either ‘highs-ds’ or ‘highs-ipm’ for you).

GUROBI options:

Gurobi solver options are specified in CVXPY as keyword arguments. The full list of Gurobi parameters with defaults is listed here.

In addition to Gurobi’s parameters, the following options are available:

'env'

Allows for the passage of a Gurobi Environment, which specifies parameters and license information. Keyword arguments will override any settings in this environment.

reoptimize

A boolean. This is only relevant for problems where GUROBI initially produces an “infeasible or unbounded” status. Its default value is False. If set to True, then if GUROBI produces an “infeasible or unbounded” status, its algorithm parameters are automatically changed and the problem is re-solved in order to determine its precise status.

Getting the standard form

If you are interested in getting the standard form that CVXPY produces for a problem, you can use the get_problem_data method. When a problem is solved, a SolvingChain passes a low-level representation that is compatible with the targeted solver to a solver, which solves the problem. This method returns that low-level representation, along with a SolvingChain and metadata for unpacking a solution into the problem. This low-level representation closely resembles, but is not identitical to, the arguments supplied to the solver.

A solution to the equivalent low-level problem can be obtained via the data by invoking the solve_via_data method of the returned solving chain, a thin wrapper around the code external to CVXPY that further processes and solves the problem. Invoke the unpack_results method to recover a solution to the original problem.

For example:

problem = cp.Problem(objective, constraints)
data, chain, inverse_data = problem.get_problem_data(cp.SCS)
# calls SCS using `data`
soln = chain.solve_via_data(problem, data)
# unpacks the solution returned by SCS into `problem`
problem.unpack_results(soln, chain, inverse_data)

Alternatively, the data dictionary returned by this method contains enough information to bypass CVXPY and call the solver directly.

For example:

problem = cp.Problem(objective, constraints)
probdata, _, _ = problem.get_problem_data(cp.SCS)

import scs
data = {
  'A': probdata['A'],
  'b': probdata['b'],
  'c': probdata['c'],
}
cone_dims = probdata['dims']
cones = {
    "f": cone_dims.zero,
    "l": cone_dims.nonpos,
    "q": cone_dims.soc,
    "ep": cone_dims.exp,
    "s": cone_dims.psd,
}
soln = scs.solve(data, cones)

The structure of the data dict that CVXPY returns depends on the solver. For details, print the dictionary, or consult the solver interfaces in cvxpy/reductions/solvers.

Reductions

CVXPY uses a system of reductions to rewrite problems from the form provided by the user into the standard form that a solver will accept. A reduction is a transformation from one problem to an equivalent problem. Two problems are equivalent if a solution of one can be converted efficiently to a solution of the other. Reductions take a CVXPY Problem as input and output a CVXPY Problem. The full set of reductions available is discussed in Reductions.

Disciplined Parametrized Programming

Note: DPP requires CVXPY version 1.1.0 or greater.

Parameters are symbolic representations of constants. Using parameters lets you modify the values of constants without reconstructing the entire problem. When your parametrized problem is constructed according to Disciplined Parametrized Programming (DPP), solving it repeatedly for different values of the parameters can be much faster than repeatedly solving a new problem.

You should read this tutorial if you intend to solve a DCP or DGP problem many times, for different values of the numerical data, or if you want to differentiate through the solution map of a DCP or DGP problem.

What is DPP?

DPP is a ruleset for producing parametrized DCP or DGP compliant problems that CVXPY can re-canonicalize very quickly. The first time a DPP-compliant problem is solved, CVXPY compiles it and caches the mapping from parameters to problem data. As a result, subsequent rewritings of DPP problems can be substantially faster. CVXPY allows you to solve parametrized problems that are not DPP, but you won’t see a speed-up when doing so.

The DPP ruleset

DPP places mild restrictions on how parameters can enter expressions in DCP and DGP problems. First, we describe the DPP ruleset for DCP problems. Then, we describe the DPP ruleset for DGP problems.

DCP problems. In DPP, an expression is said to be parameter-affine if it does not involve variables and is affine in its parameters, and it is variable-free if it does not have variables. DPP introduces two restrictions to DCP:

  1. Under DPP, all parameters are classified as affine, just like variables.

  2. Under DPP, the product of two expressions is affine when at least one of the expressions is constant, or when one of the expressions is parameter-affine and the other is parameter-free.

An expression is DPP-compliant if it DCP-compliant subject to these two restrictions. You can check whether an expression or problem is DPP-compliant by calling the is_dcp method with the keyword argument dpp=True (by default, this keyword argument is False). For example,

import cvxpy as cp


m, n = 3, 2
x = cp.Variable((n, 1))
F = cp.Parameter((m, n))
G = cp.Parameter((m, n))
g = cp.Parameter((m, 1))
gamma = cp.Parameter(nonneg=True)

objective = cp.norm((F + G) @ x - g) + gamma * cp.norm(x)
print(objective.is_dcp(dpp=True))

prints True. We can walk through the DPP analysis to understand why objective is DPP-compliant. The product (F + G) @ x is affine under DPP, because F + G is parameter-affine and x is variable-free. The difference (F + G) @ x - g is affine because the addition atom is affine and both (F + G) @ x and - g are affine. The product gamma * cp.norm(x) is convex because cp.norm(x) is convex, the product is affine because gamma is parameter-affine and cp.norm(x) is variable-free, and the expression gamma * cp.norm(x) is convex because the product is increasing in its second argument (since gamma is nonnegative).

Some expressions are DCP-compliant but not DPP-compliant. For example, DPP forbids taking the product of two parametrized expressions:

import cvxpy as cp


x = cp.Variable()
gamma = cp.Parameter(nonneg=True)
problem = cp.Problem(cp.Minimize(gamma * gamma * x), [x >= 1])
print("Is DPP? ", problem.is_dcp(dpp=True))
print("Is DCP? ", problem.is_dcp(dpp=False))

This code snippet prints

Is DPP? False
Is DCP? True

Just as it is possible to rewrite non-DCP problems in DCP-compliant ways, it is also possible to re-express non-DPP problems in DPP-compliant ways. For example, the above problem can be equivalently written as

import cvxpy as cp


x = cp.Variable()
y = cp.Variable()
gamma = cp.Parameter(nonneg=True)
problem = cp.Problem(cp.Minimize(gamma * y), [y == gamma * x])
print("Is DPP? ", problem.is_dcp(dpp=True))
print("Is DCP? ", problem.is_dcp(dpp=False))

This snippet prints

Is DPP? True
Is DCP? True

In other cases, you can represent non-DPP transformations of parameters by doing them outside of the DSL, e.g., in NumPy. For example, if P is a parameter and x is a variable, cp.quad_form(x, P) is not DPP. You can represent a parametric quadratic form like so:

import cvxpy as cp
import numpy as np
import scipy.linalg


n = 4
L = np.random.randn(n, n)
P = L.T @ L
P_sqrt = cp.Parameter((n, n))
x = cp.Variable((n, 1))
quad_form = cp.sum_squares(P_sqrt @ x)
P_sqrt.value = scipy.linalg.sqrtm(P)
assert quad_form.is_dcp(dpp=True)

As another example, the quotient expr / p is not DPP-compliant when p is a parameter, but this can be rewritten as expr * p_tilde, where p_tilde is a parameter that represents 1/p.

DGP problems. Just as DGP is the log-log analogue of DCP, DPP for DGP is the log-log analog of DPP for DCP. DPP introduces two restrictions to DGP:

  1. Under DPP, all positive parameters are classified as log-log-affine, just like positive variables.

  2. Under DPP, the power atom x**p (with base x and exponent p) is log-log affine as long as x and p are not both parametrized.

Note that for powers, the exponent p must be either a numerical constant or a parameter; attempting to construct a power atom in which the exponent is a compound expression, e.g., x**(p + p), where p is a Parameter, will result in a ValueError.

If a parameter appears in a DGP problem as an exponent, it can have any sign. If a parameter appears elsewhere in a DGP problem, it must be positive, i.e., it must be constructed with cp.Parameter(pos=True).

You can check whether an expression or problem is DPP-compliant by calling the is_dgp method with the keyword argument dpp=True (by default, this keyword argument is False). For example,

import cvxpy as cp


x = cp.Variable(pos=True)
y = cp.Variable(pos=True)
a = cp.Parameter()
b = cp.Parameter()
c = cp.Parameter(pos=True)

monomial = c * x**a * y**b
print(monomial.is_dgp(dpp=True))

prints True. The expressions x**a and y**b are log-log affine, since x and y do not contain parameters. The parameter c is log-log affine because it is positive, and the monomial expression is log-log affine because the product of log-log affine expression is also log-log affine.

Some expressions are DGP-compliant but not DPP-compliant. For example, DPP forbids taking raising a parametrized expression to a power:

import cvxpy as cp


x = cp.Variable(pos=True)
a = cp.Parameter()

monomial = (x**a)**a
print("Is DPP? ", monomial.is_dgp(dpp=True))
print("Is DGP? ", monomial.is_dgp(dpp=False))

This code snippet prints

Is DPP? False
Is DGP? True

You can represent non-DPP transformations of parameters by doing them outside of CVXPY, e.g., in NumPy. For example, you could rewrite the above program as the following DPP-complaint program

import cvxpy as cp


a = 2.0
x = cp.Variable(pos=True)
b = cp.Parameter(value=a**2)

monomial = x**b

Repeatedly solving a DPP problem

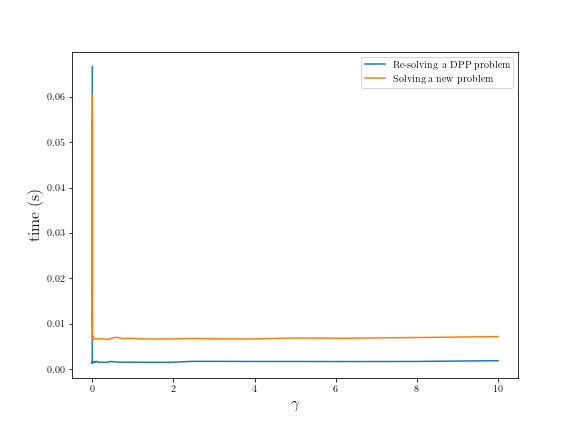
The following example demonstrates how parameters can speed-up repeated solves of a DPP-compliant DCP problem.

import cvxpy as cp
import numpy
import matplotlib.pyplot as plt
import time

n = 15
m = 10
numpy.random.seed(1)
A = numpy.random.randn(n, m)
b = numpy.random.randn(n)
# gamma must be nonnegative due to DCP rules.
gamma = cp.Parameter(nonneg=True)

x = cp.Variable(m)
error = cp.sum_squares(A @ x - b)
obj = cp.Minimize(error + gamma*cp.norm(x, 1))
problem = cp.Problem(obj)
assert problem.is_dcp(dpp=True)

gamma_vals = numpy.logspace(-4, 1)
times = []
new_problem_times = []
for val in gamma_vals:
    gamma.value = val
    start = time.time()
    problem.solve()
    end = time.time()
    times.append(end - start)
    new_problem = cp.Problem(obj)
    start = time.time()
    new_problem.solve()
    end = time.time()
    new_problem_times.append(end - start)

plt.rc('text', usetex=True)
plt.rc('font', family='serif')
plt.figure(figsize=(6, 6))
plt.plot(gamma_vals, times, label='Re-solving a DPP problem')
plt.plot(gamma_vals, new_problem_times, label='Solving a new problem')
plt.xlabel(r'$\gamma$', fontsize=16)
plt.ylabel(r'time (s)', fontsize=16)
plt.legend()
../../_images/resolving_dpp.png

Similar speed-ups can be obtained for DGP problems.

Sensitivity analysis and gradients

Note: This feature requires CVXPY version 1.1.0 or greater.

An optimization problem can be viewed as a function mapping parameters to solutions. This solution map is sometimes differentiable. CVXPY has built-in support for computing the derivative of the optimal variable values of a problem with respect to small perturbations of the parameters (i.e., the Parameter instances appearing in a problem).

The problem class exposes two methods related to computing the derivative. The derivative evaluates the derivative given perturbations to the parameters. This lets you calculate how the solution to a problem would change given small changes to the parameters, without re-solving the problem. The backward method evaluates the adjoint of the derivative, computing the gradient of the solution with respect to the parameters. This can be useful when combined with automatic differentiation software.

The derivative and backward methods are only meaningful when the problem contains parameters. In order for a problem to be differentiable, it must be DPP-compliant. CVXPY can compute the derivative of any DPP-compliant DCP or DGP problem. At non-differentiable points, CVXPY computes a heuristic quantity.

Example.

As a first example, we solve a trivial problem with an analytical solution, to illustrate the usage of the backward and derivative functions. In the following block of code, we construct a problem with a scalar variable x and a scalar parameter p. The problem is to minimize the quadratic (x - 2*p)**2.

import cvxpy as cp

x = cp.Variable()
p = cp.Parameter()
quadratic = cp.square(x - 2 * p)
problem = cp.Problem(cp.Minimize(quadratic))

Next, we solve the problem for the particular value of p == 3. Notice that when solving the problem, we supply the keyword argument requires_grad=True to the solve method.

p.value = 3.
problem.solve(requires_grad=True)

Having solved the problem with requires_grad=True, we can now use the backward and derivative to differentiate through the problem. First, we compute the gradient of the solution with respect to its parameter by calling the backward() method. As a side-effect, the backward() method populates the gradient attribute on all parameters with the gradient of the solution with respect to that parameter.

problem.backward()
print("The gradient is {0:0.1f}.".format(p.gradient))

In this case, the problem has the trivial analytical solution 2*p, and the gradient is therefore just 2. So, as expected, the above code prints

The gradient is 2.0.

Next, we use the derivative method to see how a small change in p would affect the solution x. We will perturb p by 1e-5, by setting p.delta = 1e-5, and calling the derivative method will populate the delta attribute of x with the the change in x predicted by a first-order approximation (which is dx/dp * p.delta).

p.delta = 1e-5
problem.derivative()
print("x.delta is {0:2.1g}.".format(x.delta))

In this case the solution is trivial and its derivative is just 2*p, so we know that the delta in x should be 2e-5. As expected, the output is

x.delta is 2e-05.

We emphasize that this example is trivial, because it has a trivial analytical solution, with a trivial derivative. The backward() and forward() methods are useful because the vast majority of convex optimization problems do not have analytical solutions: in these cases, CVXPY can compute solutions and their derivatives, even though it would be impossible to derive them by hand.

Note. In this simple example, the variable x was a scalar, so the backward method computed the gradient of x with respect to p. When there is more than one scalar variable, by default, backward computes the gradient of the sum of the optimal variable values with respect to the parameters.

More generally, the backward method can be used to compute the gradient of a scalar-valued function f of the optimal variables, with respect to the parameters. If x(p) denotes the optimal value of the variable (which might be a vector or a matrix) for a particular value of the parameter p and f(x(p)) is a scalar, then backward can be used to compute the gradient of f with respect to p. Let x* = x(p), and say the derivative of f with respect to x* is dx. To compute the derivative of f with respect to p, before calling problem.backward(), just set x.gradient = dx.

The backward method can be powerful when combined with software for automatic differentiation. We recommend the software package CVXPY Layers, which provides differentiable PyTorch and TensorFlow wrappers for CVXPY problems.

backward or derivative? The backward method should be used when you need the gradient of (a scalar-valued function) of the solution, with respect to the parameters. If you only want to do a sensitivity analysis, that is, if all you’re interested in is how the solution would change if one or more parameters were changed, you should use the derivative method. When there are multiple variables, it is much more efficient to compute sensitivities using the derivative method than it would be to compute the entire Jacobian (which can be done by calling backward multiple times, once for each standard basis vector).

Next steps. See the introductory notebook on derivatives.

Custom Solvers

Although cvxpy supports many different solvers out of the box, it is also possible to define and use custom solvers. This can be helpful in prototyping or developing custom solvers tailored to a specific application.

To do so, you have to implement a solver class that is a child of cvxpy.reductions.solvers.qp_solvers.qp_solver.QpSolver or cvxpy.reductions.solvers.conic_solvers.conic_solver.ConicSolver. Then you pass an instance of this solver class to solver.solve(.) as following:

import cvxpy as cp
from cvxpy.reductions.solvers.qp_solvers.osqp_qpif import OSQP


class CUSTOM_OSQP(OSQP):
    MIP_CAPABLE=False

    def name(self):
        return "CUSTOM_OSQP"

    def solve_via_data(self, *args, **kwargs):
        print("Solving with a custom QP solver!")
        super().solve_via_data(*args, **kwargs)


x = cp.Variable()
quadratic = cp.square(x)
problem = cp.Problem(cp.Minimize(quadratic))
problem.solve(solver=CUSTOM_OSQP())

You might also want to override the methods invert and import_solver of the Solver class.

Note that the string returned by the name property should be different to all of the officially supported solvers (a list of which can be found in cvxpy.settings.SOLVERS). Also, if your solver is mixed integer capable, you should set the class variable MIP_CAPABLE to True.